当前位置: 首页 > 专题栏目 > 沛县坚决打赢疫情防控阻击战专题报道 > 通知公告 > 沛县各镇街道社区(村)最新报备电话公布

沛县各镇街道社区(村)最新报备电话公布

时间:2022-04-11 作者: 阅读:

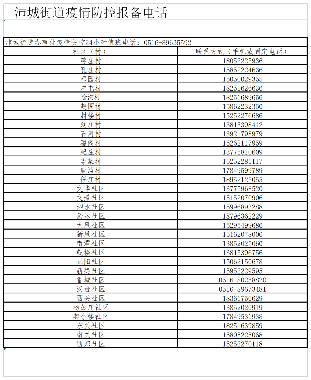
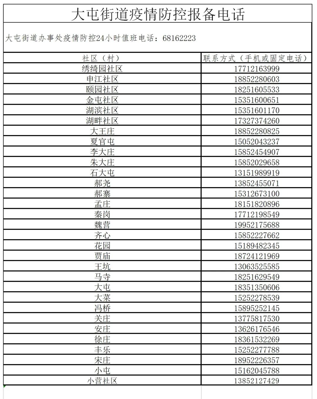
为进一步严格外市来(返)沛人员管理,畅通来(返)沛人员报备渠道,更好落实健康管理措施,降低疫情传播风险,现将沛县各镇区社区(村)疫情防控报备电话公布如下,方便广大群众主动报备个人行程信息,咨询疫情防控相关问题。

扫一扫手机打开